A-9.3.12 Planung und Ausführung der Bohrlochmagnetik
1 Geltungsbereich
Die Technische Spezifikation Bohrlochmagnetik gilt für die Planung und Ausführung von Bohrlochsondierungen zur Suche nach Bombenblindgängern mit Vertikal-Gradiometern und 3-Achs-Gradiometern.
Die Bohrlochmagnetik dient in der Regel der Detektion von Bombenblindgängern ab 100 lb.
Im Rahmen der Planung sind folgende Vorgaben für die Ausführung zu definieren:
- erforderliche Bohrtiefe (in Kap. 3.3.4)
- Bohrlochabstand (Kap. 3.3.5)
- Bohrlochanordnung (Kap. 3.3.6)
- Messsysteme (Kap. 3.3.7)
- Verfüllen (Kap. 3.3.9) unter Beachtung der Flächennutzung (z.B. hinsichtlich bodenmechanischer Parameter) und des Grundwasserschutzes
2 Anforderungen an das Personal
An den Messingenieur / Messtechniker / Auswerter werden die Anforderungen gemäß Technischer Spezifikation A-9.3.3 gestellt.
Vor Beginn der Arbeiten sind das Personal und deren Aufgaben zu benennen.
3 Vorgehensweise
3.1 Grundlagen der Durchführung
Die Planung der Bohrlochmagnetik ist zu übernehmen und auf
- Durchführbarkeit im Gelände unter Berücksichtigung möglicher arbeitseinschränkender Hindernisse (z.B. Bewuchs, Bauwerke),
- störende Einflüsse (ferromagnetische Einbauten),
- mögliche anderweitige Widersprüche
zu überprüfen.
3.2 Wesentliche Teilleistungen der Bohrlochmagnetik
Die Durchführung der Bohrlochmagnetik umfasst:
- Einmessen und Kennzeichnen des Bohrlochrasters
- Abteufen der Bohrungen mit einem an den Standort angepassten Bohrverfahren (i.d.R. Endlosschneckenbohrung, Hohlbohrschneckenbohrung oder Spülbohrung)
- Einbau der Verrohrung
- Sondierung mittels Vertikal-Gradiometer oder 3-Achs-Gradiometer
- Qualitätssicherung: Prüfung, erste Interpretation und Bewertung der Messdaten
- Ziehen der Verrohrung
- Verfüllung des Bohrlochs gemäß Planungsvorgaben
- Abschließende Auswertung und Bewertung der Messungen
- Dokumentation der Bohrlochsondierungen
3.3 Anlage, Einmessung und Durchführung der Bohrungen
3.3.1 Vorarbeiten
Vor Beginn der Bohrungen sind Leitungs- und Kabelpläne einzuholen (Schachterlaubnis).
3.3.2 Einmessung, Leitungssuche
Vor Beginn der Bohrungen sind die Bohransatzpunkte gemäß dem Bohrplan im Gelände mit einer Genauigkeit von ± 10 cm einzumessen und vor Ort eindeutig zu kennzeichnen.
Sofern während der Ausführung einzelne Bohrungen versetzt werden müssen, sind diese ebenfalls einzumessen.
Die Einmessung erfolgt in absoluten Koordinaten im Bezugssystem UTM / ETRS89.
Die Bohransatzpunkte sind auf Basis der Leitungs- und Kabelpläne und einer bedarfsweisen Kabeleinweisung visuell und bedarfsweise mit einem geeigneten Suchgerät auf mögliche Leitungen zu überprüfen.
Falls erforderlich, sind Suchschachtungen durchzuführen.
3.3.3 Bohrverfahren
Die Bohrungen sind in der Regel drehend mit Endlosschnecke oder Hohlbohrschnecke auszuführen. Im Einzelfall können auch Schappen oder Spüllanzen eingesetzt werden.
Nicht anzuwenden sind Bohrungen mit einem schlagenden, rammenden oder rüttelnden Verfahren. Bohrkronen als Schneidewerkzeug sind im Regelfall nicht zulässig. In Einzelfällen können schneidende Bohrkronen zum Durchörtern bekannter Hindernisse verwendet werden.
Der Einsatz von Bohrkronen ist im Einzelfall zu begründen und die Bereiche, in denen ihr Einsatz zulässig ist, zu beschreiben.
Möglich sind Bohrlochmessungen im Zuge von Drucksondierungen (sog. CPT-Sondierungen), wenn die Anforderungen an die Gradiometer erfüllt werden.
Für die Bohrungen können Lafettenbohrgeräte oder Bagger, im Gleisbereich als Zweiwegegeräte mit Anbaugerät eingesetzt werden.
Bei Bohrtiefen bis 8 m können Bohrverfahren ohne Lafette verwendet werden. Bei Bohrtiefen größer 8 m sind im Regelfall lafettengeführte Bohrungen auszuführen. Ausnahmen sind im Einzelfall besonders zu begründen.
3.3.4 Abteufen der Bohrungen
Grundsätzlich gilt:
- Die Bohrlöcher sind mindestens 1 m tiefer als die größte erwartete Tiefe der zu detektierenden Bombenblindgänger herzustellen.
- Die Bohrungen sind senkrecht auszuführen. Eine Abweichung von mehr als 3° aus der Lotrechten ist nicht zulässig, es sei denn, die Bohrungen werden gezielt als Schrägbohrungen ausgeführt.
- Beim Auftreten von plötzlichen, nicht erwarteten Widerständen ist die Bohrung abzubrechen. Auf Basis der örtlichen Befunde ist ein neuer Ansatzpunkt festzulegen.
- Die erste Bohrung wird in 1 m-Abschnitten erstellt. Nach jedem Abschnitt muss sondiert („frei gemessen“) werden. Die Bohrung wird nur fortgesetzt, wenn keine Anomalie festgestellt wird. Dieses Vorgehen ist bis zur Endtiefe durchzuführen. Erst danach kann die Bohrung ausgebaut und gemessen werden.
- Ist die erste Bohrung erstellt und freigegeben, können die direkt benachbarten Bohrungen im nach Wegener und Fleischmann berechneten Bohrlochabstand in einem Zug erstellt werden.
- Ist die erste Bohrlochreihe hergestellt und freigemessen, können die direkt benachbarten Bohrlochreihen im nach Wegener und Fleischmann berechneten Bohrlochabstand in einem Zug hergestellt werden.
3.3.5 Bohrlochabstand
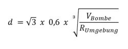
Der Bohrlochabstand ist nach dem Berechnungsverfahren von Wegener und Fleischmann (1954) 1 für die jeweilige Fläche bzw. Aufgabenstellung zu bestimmen:

Hierbei sind:
d |
Abstand zwischen den Bohrlöchern im gleichseitigen Dreieck in m |
VBombe |
Volumen des gemäß Historischer Erkundung zu erwartenden Bombenblindgängers in m³ |
RUmgebung |
Umgebungsrauschen, berechnet aus Bohrlochdaten als Quotient aus Rauschen (R) und Erdmagnetfeldstärke (B). Bei Verwendung von Vertikalgradiometern sind das Rauschen im Vertikalgradienten und die Vertikalkomponente des örtlichen Erdmagnetfeldes einzusetzen, bei Verwendung von 3-Achs-Gradiometern das Rauschen im Totalfeldgradienten und das örtliche Totalfeld. |
Als Volumen können die in der nachfolgenden Tabelle aufgeführten Angaben genutzt werden. Sofern Angaben zur vermuteten Abwurfmunition nicht vorliegen, sollte ein Volumen von 0,024 m3 genutzt werden, welches einer 100 lb GP US Sprengbombe entspricht.
Für Bereiche mit geringem, mäßigem, starkem und sehr starkem Rauschen ist mit Bohrlochabständen in folgenden Größenordnungen zu rechnen (Berechnungsbeispiele, die für Vertikalgradiometer und 3-Achs-Magnetometer genutzt werden können):

Bohrlochabstände kleiner als 1 m sind nur im begründeten Einzelfall sinnvoll.
Auf Basis der nach der Untersuchung der ersten Bohrlochsondierungen festgestellten Untergrundverhältnisse und des resultierenden Signal-Rausch-Verhältnisses ist die Notwendigkeit der Anpassung des Bohrlochrasters zu prüfen. Änderungen sind mit dem AG abzustimmen und zu dokumentieren.
3.3.6 Bohrlochanordnung
Nach dem Abteufen der ersten Bohrung werden die folgenden Bohrungen für
- punktuelle Erkundung (z.B. Pfahlgründungen)
- linienhafte Erkundung (z.B. Verbauachsen)
- flächenhafte Erkundung (z.B. Baufeld oder Bombenblindgängerverdachtspunkte)
gemäß folgender Vorgehensweise abgeteuft:
Punktuelle Erkundung
Die Erkundung für punktuelle Bauwerke wie z.B. Bohrpfähle, Brunnen, Erdungsanker, Verbauträger, o.ä. erfolgt in der Regel entweder mit einer Einzelbohrung oder einem Bohrlochtripel.
Einzelbohrungen sind dann zielführend, wenn die Sondierungen auf Flächen erfolgen, wo nur ein geringes oder mäßiges Rauschen zu erwarten ist (i.d.R. bei nicht bis wenig gestörten Bodenverhältnissen). Wird eine bombenblindgängerverdächtige Anomalie detektiert, sind bei Einzelbohrungen Zusatzbohrungen erforderlich, um das Objekt zu verorten und hinreichend bewerten zu können. Die Anzahl und die Anordnung dieser Zusatzbohrungen ist einzelfallbezogen zu ermitteln.
Bei Sondierungen auf Standorten, wo ein starkes bis sehr starkes Rauschen zu erwarten ist (z.B. im Bereich von Bauwerken bzw. reliktischer Bausubstanz) sollte in der Regel das Bohrlochtripel angewandt werden.

Beispiel für die Anordnung der Bohrlochsondierungen für die punktuelle Untersuchung (z.B. für Ramm- oder Bohrpfähle, hier mit einem Durchmesser von 0,75 m) Links: eine Bohrlochsondierung im Zentrum mit einem resultierenden Freigaberadius von 1,5 m. Rechts: drei Bohrlochsondierungen im Tripel mit einem Abstand von 1,5 mit dem kleinsten gemeinsamen Freigaberadius von 1,7 m (schraffierte Fläche) und der maximalen, unregelmäßig ausgebildeten Freigabefläche um jede Untersuchungsstelle (punktiert).
In Sonderfällen, zum Beispiel bei sehr großen Bohrpfählen oder in stärker gestörten Bereichen, kann es erforderlich werden, Bereiche mit mehr als drei Bohrlöchern zu untersuchen. Diese sind im Einzelfall zu planen und zu begründen.

Beispiele für die Anordnung der Bohrlochsondierungen für die Untersuchung von Bohrpfählen mit sehr großem Durchmesser. Links: eine Bohrlochsondierung im Zentrum, Mitte: vier Bohrlochsondierungen ohne Zentralbohrung, Rechts: fünf Bohrlochsondierungen als Pentagon angeordnet um eine sechste Zentralbohrung.
Linienhafte Erkundung
Linienbauwerke, wie Verbau- oder Spundwandachsen, sind mittels Bohrlochreihen zu untersuchen. Es bestehen hierfür folgende Möglichkeiten:
- einreihig
- zweireihig
- mehr als zweireihig
Die Anordnung der Bohrlochsondierungen hängt u.a. von der Breite eines geplanten Verbaus, der Art und Intensität der vermuteten Kampfmittelbelastung, den bodenmechanischen Eigenschaften, den Anforderungen an die Baugrundeigenschaften und dem zur Verfügung stehenden Arbeitsraum sowie dem erwarteten Signal-Rausch-Verhältnis ab.
Erkundung in einer Linie (einreihig):
Bei schmalen, linienhaften Bauwerken auf Flächen, wo nur ein geringes oder mäßiges Rauschen zu erwarten ist, kann die Sondierung mit einer einzelnen Bohrlochreihe ausreichend sein.

Einreihige Anordnung mit einem Abstand von 1,5 m, der für günstige Standortverhältnisse gilt.
Erkundung in zwei Linien (zweireihig):
Auf Flächen, wo ein starkes bis sehr starkes Rauschen zu erwarten ist, oder bei linienhaften Bauwerken, deren Breite nicht mehr ausreichend von einer einzelnen Bohrlochreihe abgedeckt werden kann, werden die Bohrlochsondierungen zwei- bzw. mehrreihig angeordnet.

Zweireihige Anordnung mit einem Abstand von 1,5 m.
Erkundung in drei Linien (dreireihig):
In Bereichen mit starken Störungen im baulichen Bestand oder erhöhtem Rauschen in anthropogen beeinflussten Schichten kann es erforderlich werden, die Untersuchung mit einem verdichteten Bohrraster mit drei Bohrlochreihen durchzuführen.

Bohrraster bei ungünstigen Standortverhältnissen mit drei Bohrlochreihen und einem für diesen (Beispiel-)Fall berechneten Bohrlochabstand von 1,0 m.
Flächenhafte Erkundung
Bei der flächenhaften Erkundung (z.B. einer geplanten Baugrube) ist die zu untersuchende Fläche vollständig mit Bohrungen für die magnetische Bohrlochsondierung im jeweils erforderlichen Bohrlochabstand abzudecken.
Bohrungen außerhalb des zu untersuchenden Bereiches sind dabei in der Regel nicht erforderlich, weil die Messreichweite der Bohrungen innerhalb der Fläche i.d.R. die gesamte Fläche abdeckt.

Anordnung der Ansatzstellen bei einer flächenhaften Erkundung mit dem für diesen Beispielfall berechneten Bohrlochabstand von 1,5 m
Für alle Erkundungsbohrungen gilt:
- Die Bohrlöcher sind mit nicht ferromagnetischen Hüllrohren zu verrohren; die Rohrunterseite ist mit einem Stopfen gegen das Aufspülen von Erdreich zu verschließen. Bei Drucksondierungen entfällt die Verrohrung.
- Die Verrohrung soll nur bis maximal 0,5 m über GOK hinausstehen.
- Befinden sich Teile des Vollrohrs im grundwassergesättigten Bereich, besteht die Gefahr des Aufschwimmens des Vollrohrs. Vor den Messungen sind aufgeschwommene Vollrohre wieder auf den vorgenannten maximalen Überstand zurückzuführen und während der Messungen auf diesem Niveau zu halten.
Zusatzbohrungen und Verdichtungsbohrungen
Werden bei der Sondierung bombenblindgängerverdächtige Anomalien festgestellt, sind in der Regel Zusatzbohrungen zur genaueren Untersuchung der Anomalien erforderlich.
Zusätzliche Bohrungen zur systematischen Verdichtung des Bohrrasters zur Abdeckung einzelner verrauschter Bereiche können notwendig werden.
3.3.7 Messsysteme
Für die Sondierung sind Vertikalgradiometer oder 3-Achs-Gradiometer mit festem Basisabstand zu verwenden.
Die Verwendung von Einzelmagnetometern und die Bildung von „virtuellen Gradienten“ aus zu unterschiedlichen Zeitpunkten entlang der Tiefenachse gemessenen Magnetfeldwerten ist nicht zulässig.
Anforderungen an die Messsysteme:
- Basisabstand: mindestens 0,4 m oder größer
- Sensitivität der Gradiometer
- Vertikal-Gradiometer: ≤ 0,5 nT
- 3-Achs-Gradiometer: ≤ 0,1 nT
- Dynamik der Gradiometer
- Vertikal-Gradiometer: mind. +/- 10.000 nT
- 3-Achs-Gradiometer: mind. +/- 100.000 nT
- Messpunktabstand Tiefenachse: ≤ 0,05 m
- Positionierungsgenauigkeit eines Messwertes zur Tiefe im Bohrloch: ≤ 0,05 m
Sofern von den vorgenannten Spezifikationen für einen besonderen Fall abgewichen werden soll, ist dies im Einzelfall zu begründen.
3.3.8 Durchführen der Messungen
Das Messsystem ist nur dann einzusetzen, wenn es in einem einwandfreien technischen Zustand ist. Dies ist durch visuelle Überprüfung und die Überwachung vor und während der Messungen sicherzustellen.
Vorgaben der Gerätehersteller hinsichtlich Wartung etc. sind einzuhalten. Die Nachweise sind vor Ort vorzuhalten.
Bereits bei der Messdatenerfassung (Geophysik und Vermessung) ist zu gewährleisten, dass die Koordinaten und geophysikalischen Bohrlochmessdaten unter identischen Bohrlochnamen abgespeichert werden, um eine spätere, automatisierte Zusammenführung zu ermöglichen und Verwechslungen zu vermeiden.
Für die Messungen ist die Sonde im Bohrloch über die gesamte Länge von unten nach oben gemäß Herstellerangaben zu ziehen. Dabei ist zu gewährleisten, dass der geforderte Abstand zwischen zwei Messpunkten sowie die Ortsreferenzierung der Messwerte zur Tiefe im Bohrloch mit der unter 3.3.7 angegebenen Genauigkeit erfolgt. Die Messung ist so durchzuführen, dass die Messdaten bis zur GOK erfasst werden.
Die Messdaten sind unmittelbar nach erfolgter Messung zu überprüfen und einer ersten Auswertung hinsichtlich möglicher bombenblindgängerverdächtiger Anomalien und hinsichtlich der lateralen Messreichweite zu unterziehen.
3.3.9 Verfüllen
Als Verfüllgut können grundsätzlich genutzt werden
- das Bohrgut, sofern es aus technischen (z.B. bodenmechanische Eigenschaften) oder rechtlichen Bedingungen (z.B. Bodenkontaminationen) geeignet ist
- Füllsande, Brechsande
- Splitt
- Quellton
- Dämmer und vergleichbare Materialien
Die Verfüllbaustoffe sind gemäß den Herstellerangaben (Datenblätter) zu lagern und einzubauen. Für Dichtungsstoffe sind dem AG die Datenblätter vor Einbau vorzulegen.
Bei der Verfüllung ist darauf zu achten, dass eine vollständige Verfüllung des Bohrlochs durch das kontinuierliche Verfüllen mit dem Ziehen der Verrohrung ein möglichst lagenweiser Einbau erreicht wird.
Quellton ist unter gleichzeitiger Zugabe von Wasser in das Bohrloch einzufüllen. Die Wasserzugabe soll rund 10% der Masse des geschütteten Quelltons entsprechen. Hilfreich ist es, alternativ den Quellton mit Hydrogel im Verhältnis 12:1 vor Einbau möglichst homogen zu mischen. Quellton ist nur soweit bis unter die Geländeoberkante einzufüllen, das ein Ausquellen des Quelltons aus dem Bohrloch vermieden wird.
Sofern nicht anders vorgegeben, sind die oberen Dezimeter der Bohrlöcher entsprechend den vorgefundenen Verhältnissen, vorzugsweise mit den örtlich angetroffenen Materialien, wieder zu verschließen (Erde, Schotter etc.).
Die Qualität der Verfüllung ist durch das Abschätzen des benötigten Verfüllmaterials (Volumenabschätzung des Bohrlochs) und der Gegenüberstellung des tatsächlich verfüllten Verfüllgutes zu kontrollieren. Die Geländedokumentation ist mit dem Abschlussbericht zu übergeben.
Der Zeitpunkt der Verfüllung der Bohrlöcher ist in Abhängigkeit der sedimentologischen Verhältnisse, der Notwendigkeit möglicher Qualitätskontrollen und des möglichen Arbeitsablaufs zu wählen. Zur Vermeidung von negativen Auswirkungen auf den Baugrund sind die Bohrlöcher nach Freigabe bzw. dem Abteufen von Zusatzbohrungen unmittelbar zu verfüllen. Dies gilt insbesondere bei Bohrlöchern in nachfallenden bzw. fließenden Böden.
Grundsätzlich ist anzustreben, dass die Bohrlöcher zum Arbeitsende eines Tages verfüllt sind.
3.3.10 Auswertung der Messungen
Die Messungen sind detailliert und zeitnah nach der Datenaufnahme auszuwerten. Die Auswertung der Messungen erfolgt mit geeigneter Software.
Alle Messungen sind vom Auswerter einzeln zu beurteilen. Eine automatisierte Auswertung / Bewertung ist nicht zulässig.
Anomalien mit Verdacht auf die vermuteten Kampfmittel sind einer Objektberechnung zu unterziehen. Hierfür sind ggf. zusätzliche Sondierungen erforderlich (Zusatzbohrungen, s.o.).
Art und Umfang der Auswertung der Bohrlochmessdaten des 3-Achs-Magnetometers richtet sich nach den jeweiligen Befunden. Bedarfsweise sind Totalfeldgradient, der Vertikalgradient, die Horizontalkomponenten und die Winkeldifferenz in geeigneten Skalierungen zu prüfen.
Für alle Bohrlöcher mit signifikanten Signaturen, für die eine weitere Untersuchung oder Öffnung zur Klärung eines Kampfmittelverdachtes empfohlen wird, sind in tabellarischer Form folgende zusätzlichen Angaben zu machen:
- Bezeichnung der Erkundungsfläche
- Bohrlochbezeichnung (alle Bohrlochsondierungen, in denen die jeweilige Signatur ermittelt wurde) nebst Koordinatenangaben
- Tiefe unter Geländeoberkante als sog. Flächenschwerpunkt (Mittelpunkt der Anomalie)
- Orientierung des Objektes (senkrecht, horizontal, schräg)
- Signaturlänge und Amplitude bei verdachtsrelevanten Anomalien
- Magnetisches Moment und Berechnungsqualität bei berechneten Objekten
- Bewertung (verbale Beschreibung / Wertung der Signatur)
3.3.11 Dokumentation während der Durchführung
Die Arbeiten sind laufend im Formdruck „Tagesdokumentation Bohrlochmagnetik“ handschriftlich zu dokumentieren.
In der Tagesdokumentation sind neben Angaben zur Räumstelle, Teilfläche und Durchführenden je Bohrung/Messung mindestens folgende Angaben zu machen:
- Bezeichnung der Bohrlochsondierung
- Datum und Uhrzeit der Ausführung / Messung
- Erreichte Messtiefe
- Befund der Messung
- Bewertung der Messung / Freigabe
- Bohrloch verfüllt: ja/nein
Die Tagesdokumentation ist zum Ende eines Arbeitstages dem Auftraggeber oder seinem Vertreter zu übermitteln.
Sofern Bohrlochsondierungen während laufender Baumaßnahmen erfolgen, ist zur Vermeidung von Verzögerungen des Bauablaufs bereits unmittelbar nach der Untersuchung und deren Auswertung eine vorläufige Freigabe zu erklären. Hierfür ist das das Muster gemäß TS A-9.4.10, Vordruck 4: Abnahmeprotokoll zu nutzen.
3.3.12 Abschlussdokumentation
Erstellen eines Berichtes über die Messungen mit folgendem Inhalt:
- Projektname, -beschreibung, -ziel
- Untersuchungsgebiet, ggf. Aufgliederung in Teilfläche, Benennung von Störquellen
- Durchführungszeitraum
- eingesetzte Technik (Vermessungstechnik, Bohrverfahren, Messsysteme, Auswertesoftware)
- Benennung des eingesetzten, verantwortlichen Personals
- Tagesleistung mit der Angabe der Anzahl der durchgeführten Bohrlochmessungen inkl. Tiefen, Witterungsbedingungen, Skizze über die Lage der Messflächen mit Nordpfeil und Maßstabsangabe
- Darstellung der Ergebnisse der Untersuchungen, bedarfsweise getrennt für Teilflächen, einschließlich deren Interpretation und Bewertung im Hinblick auf die vermuteten Kampfmittel
- Darstellung der durchgeführten Verfüllung
- Maßnahmen der Qualitätssicherung
- Besonderheiten
- Empfehlungen für ggf. notwendige Folgemaßnahmen
Als Anlagen sind dem Bericht u.a. beizugeben:
- Lageplan des Bohrrasters im Koordinatenbezugssystem UTM / ETRS89
- Messkurven für jedes gemessene Bohrloch mit Legende und Maßstab, bedarfsweise in unterschiedlichen Skalierungen
- Lageskizze von sichtbaren bzw. bekannten Störkörpern (z. B. Leitungen) im Bereich der Bohrlöcher
- Ausführliche Dokumentation der Messdatenaufbereitung vor der Datenübergabe wie z. B. nachträgliches Kompensieren, Editieren von Messspuren, Filterungen, Ortskoordinatenaufbereitung etc.
- Nachweis über die Durchführung der Qualitätssicherung der Messungen
- Übergabe der Rohdaten an den Auftraggeber im abgestimmten Datenformat.
4 Qualitätssicherung und Qualitätskontrolle
4.1 Qualitätssicherung
Die fehlerfreie Durchführung der Messungen und die Funktion des Messsystems sind in geeigneter Weise kontinuierlich zu überprüfen und im Bericht zur Bohrlochmagnetik zu dokumentieren. Hierfür bieten sich u.a. wiederholte Messungen in einzelnen Bohrlöchern an.
Neben der QS im Rahmen der Messungen vor Ort sind die herstellerspezifischen Vorgaben zu Wartung und Kalibrierung der Messsysteme einzuhalten und dem AG durch Vorlage geeigneter Protokolle nachzuweisen.
4.2 Qualitätskontrolle
Die Ausführung der gewerblichen Arbeiten zur Bohrlochmagnetik ist in der Regel durch das beauftragte Ingenieurbüro bzw. die örtliche Bauüberwachung einer Qualitätskontrolle zu unterziehen. Dabei sind insbesondere zu prüfen:
- Kontrolle der Bohrlochabstände / Umsetzung des Bohrrasters im Gelände
- Abdeckung der gesamten zu untersuchenden Fläche
- Vertikalität der Bohrungen (Überprüfung der Vorgabe von ≤ 3° Abweichung aus der Lotrechten, z.B. mittels „Lotfällung“ oder Inklinometermessungen)
- ausreichende Messtiefe
- korrekte Erfassung der Bohrlochmessdaten
- Qualität der Rohdaten und Vermessungsdaten (lagerichtige Zuordnung, eindeutige und identische Benennung von Messdaten und Vermessungsdaten)
- Festlegung und Ausführung von Zusatzbohrungen bei weiter zu untersuchenden Anomalien
- fachgerechte Verfüllung der Bohrlöcher
- Auswertung der Messdaten und Dokumentation verdachtsrelevanter Anomalien
- Prüfung der Abarbeitung verdachtsrelevanter Anomalien durch messtechnische Überprüfung oder Öffnung
Wegener, Horst und Fleischmann, Rudolf (1954): Ortung tiefliegender Bombenblindgänger. - in: Zeitschrift für angewandte Physik, Band 6, Berlin (Springer)
▲ zurück nach oben